
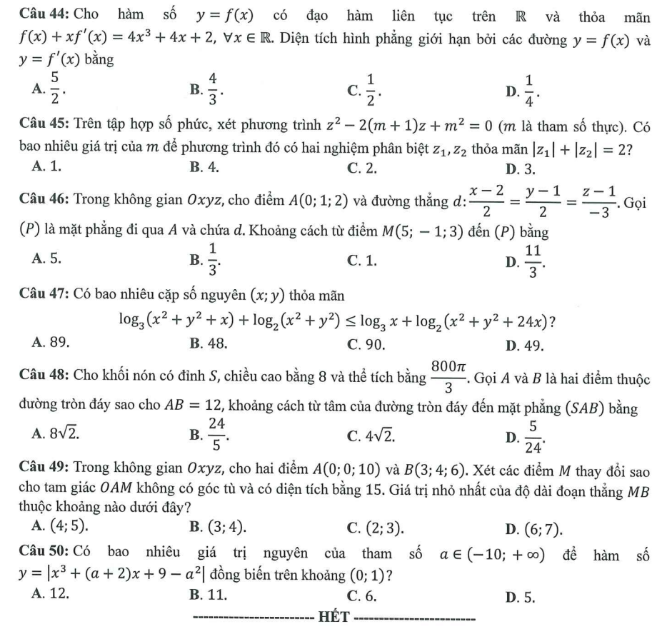
Gợi ý đáp án đề minh hoạ môn Toán thi tốt nghiệp THPT 2023.
Đề minh hoạ môn Toán:






Gợi ý đáp án đề minh hoạ môn Toán thi tốt nghiệp THPT 2023.
Đề minh hoạ môn Toán:





Sau môn Toán lớp 10 tại Hà Nội, các sĩ tử vỡ òa cảm xúc với những nụ cười nhẹ nhõm cùng cả giọt nước mắt tiếc nuối sau chuỗi ngày ôn thi căng thẳng.

Từ sáng sớm, nhiều phụ huynh đã đưa con đến điểm thi làm thủ tục, nghe phổ biến quy chế, kiểm tra thông tin dự thi trước khi bước vào kỳ thi ngày mai (1/6).

Nhiều giáo viên nhận định đề Toán vào lớp 10 Hà Nội năm 2026 vừa sức, bám sát cấu trúc năm trước, phổ điểm dự kiến tập trung 7,5-8,5, sẽ xuất hiện nhiều điểm 8,5-9,5.
Sau môn Toán lớp 10 tại Hà Nội, các sĩ tử vỡ òa cảm xúc với những nụ cười nhẹ nhõm cùng cả giọt nước mắt tiếc nuối sau chuỗi ngày ôn thi căng thẳng.

Những thông điệp của nhà lãnh đạo Việt Nam tại Đối thoại Shangri-La không chỉ phản ánh quan điểm Việt Nam mà còn chạm tới mối quan tâm chung của khu vực và quốc tế.

Sáng 31/5, Đại lễ Phật đản Phật lịch 2570 tổ chức trang nghiêm tại chùa Quán Sứ với sự tham dự của chư tôn đức, lãnh đạo Đảng, Nhà nước và đông đảo Phật tử.

Người phụ nữ tại Trung Quốc kiện thẩm mỹ viện vì gặp biến chứng sau khi phẫu thuật cắt mí, nhưng không ngờ cô lại bị kiện ngược.

Giá vàng miếng tại PNJ hôm nay bao nhiêu, hãy cập nhật diễn biến mới nhất trong bài viết dưới đây.

Sau khi đăng clip nằm sấp lái mô tô trên đường để thu hút sự chú ý trên mạng xã hội, V.A.P. (SN 2006, ở Lào Cai) bị cơ quan chức năng xử lý, tịch thu phương tiện.

Từ sáng sớm, nhiều phụ huynh đã đưa con đến điểm thi làm thủ tục, nghe phổ biến quy chế, kiểm tra thông tin dự thi trước khi bước vào kỳ thi ngày mai (1/6).

Ông N.H.Đ bị Công an xử phạt hành chính 7,5 triệu đồng vì đăng bài viết, hình ảnh sai sự thật về việc nắng nóng khiến "thóc phơi ngoài trời nổ thành bỏng".

Nhiều giáo viên nhận định đề Toán vào lớp 10 Hà Nội năm 2026 vừa sức, bám sát cấu trúc năm trước, phổ điểm dự kiến tập trung 7,5-8,5, sẽ xuất hiện nhiều điểm 8,5-9,5.

Ngoài băn khoăn về chất lượng của xăng E10 thì nhiều người tiêu dùng còn thắc mắc về giá xăng E10 so với xăng khoáng RON95.

Cập nhật thông tin World Cup 2026 mới nhất ngày 31/5: HLV Carlo Ancelotti khẳng định Neymar vẫn sẽ cùng tuyển Brazil tham dự giải đấu.

Protein là dưỡng chất quan trọng giúp duy trì khối cơ và hỗ trợ sức khỏe ở người trung niên và cao tuổi.

Sáng 31/5, hơn 123.673 thí sinh dự thi môn Toán vào lớp 10 tại Hà Nội, ghi nhận 409 thí sinh vắng mặt và 2 trường hợp vi phạm quy chế.

Tổng hợp tin tức 31/5: Nga cáo buộc Ukraine tấn công cơ sở hạt nhân và nhà máy lọc dầu, ông Trump siết điều kiện đàm phán với Iran, thiên thạch gây rung chấn tại Mỹ.

PSG bảo vệ thành công ngôi vương Champions League, nhưng niềm vui tại Paris bị phủ bóng bởi các vụ bạo lực, đụng độ với cảnh sát và hàng trăm vụ bắt giữ.
Nữ giám khảo người Mexico chấm Hương Giang 5 điểm trong phần thi ứng xử tại Miss Grand International All Stars gây tranh cãi trong cộng đồng sắc đẹp.

Minh Thư mắc ung thư máu từ lớp 4 nhưng chưa từng buông sách, tự học tiếng Anh, tiếng Trung mỗi ngày với ước mơ đưa bà sang Trung Quốc du lịch.

Dưới đây là gợi ý đáp án môn Toán kỳ thi vào lớp 10 công lập Hà Nội năm 2026 được thực hiện bởi đội ngũ chuyên gia, thầy cô giàu kinh nghiệm.
Tờ ESPN chỉ ra những điểm nhấn đáng chú ý của trận chung kết Champions League, góp phần giúp PSG bảo vệ thành công chức vô địch sau màn đấu trí với Arsenal.
Cập nhật nhanh nhất đề thi vào lớp 10 môn Toán tại Hà Nội năm 2026 diễn ra vào sáng nay 31/5, giúp phụ huynh và các thí sinh tiện theo dõi, đối chiếu kết quả.
Xăng E10 có dễ bị tách pha khi để lâu hay không là một trong những vấn đề được chủ xe quan tâm.

Việc Hương Giang dừng chân ở vị trí Á hậu 2 Miss Grand All Stars khiến không ít khán giả tiếc nuối, đặc biệt khi cô nhận được lượng bình chọn áp đảo.

Dưới nắng như thiêu đốt của dải đất ven biển Gia Lai, người trồng ớt miệt mài phơi mẻ ớt cuối vụ, tạo thành “thảm ớt” đỏ rực dọc theo miền cát.
Sáng 31/5, nhiều hoạt động ý nghĩa đã tiếp thêm động lực cho sĩ tử Hà Nội trước môn thi cuối cùng của kỳ thi vào lớp 10 năm nay.

SIEGENIA khai trương showroom và kho hàng tại miền Bắc, đánh dấu bước phát triển quan trọng của thương hiệu phụ kiện cửa cao cấp đến từ Đức tại thị trường Việt Nam.

Giá vàng trong nước từng lập đỉnh lịch sử ở mức 192,2 triệu đồng/lượng vào đầu năm nay, nhưng hiện tại, giá giao dịch đã sụt giảm mạnh.

Tắm nước lạnh ngay sau khi đi nắng, uống nước đá liên tục hay lạm dụng điều hòa có thể khiến cơ thể đối mặt với hàng loạt nguy cơ về tim mạch, hô hấp, sức đề kháng.

Sáng nay (31/5), hơn 150.000 thí sinh làm thủ tục dự thi vào làm 10 công lập năm học 2026-2027 tại TP.HCM.

VinFast VF 6 có 2 phiên bản Eco và Plus, giá từ 689 triệu đồng, mang đến sự lựa chọn phù hợp cho nhu cầu sử dụng của khách hàng.

Vụ nổ tên lửa New Glenn tại Cape Canaveral khiến kế hoạch của Amazon và NASA có nguy cơ trì hoãn nhiều tháng, đẩy Blue Origin vào thế khó.