
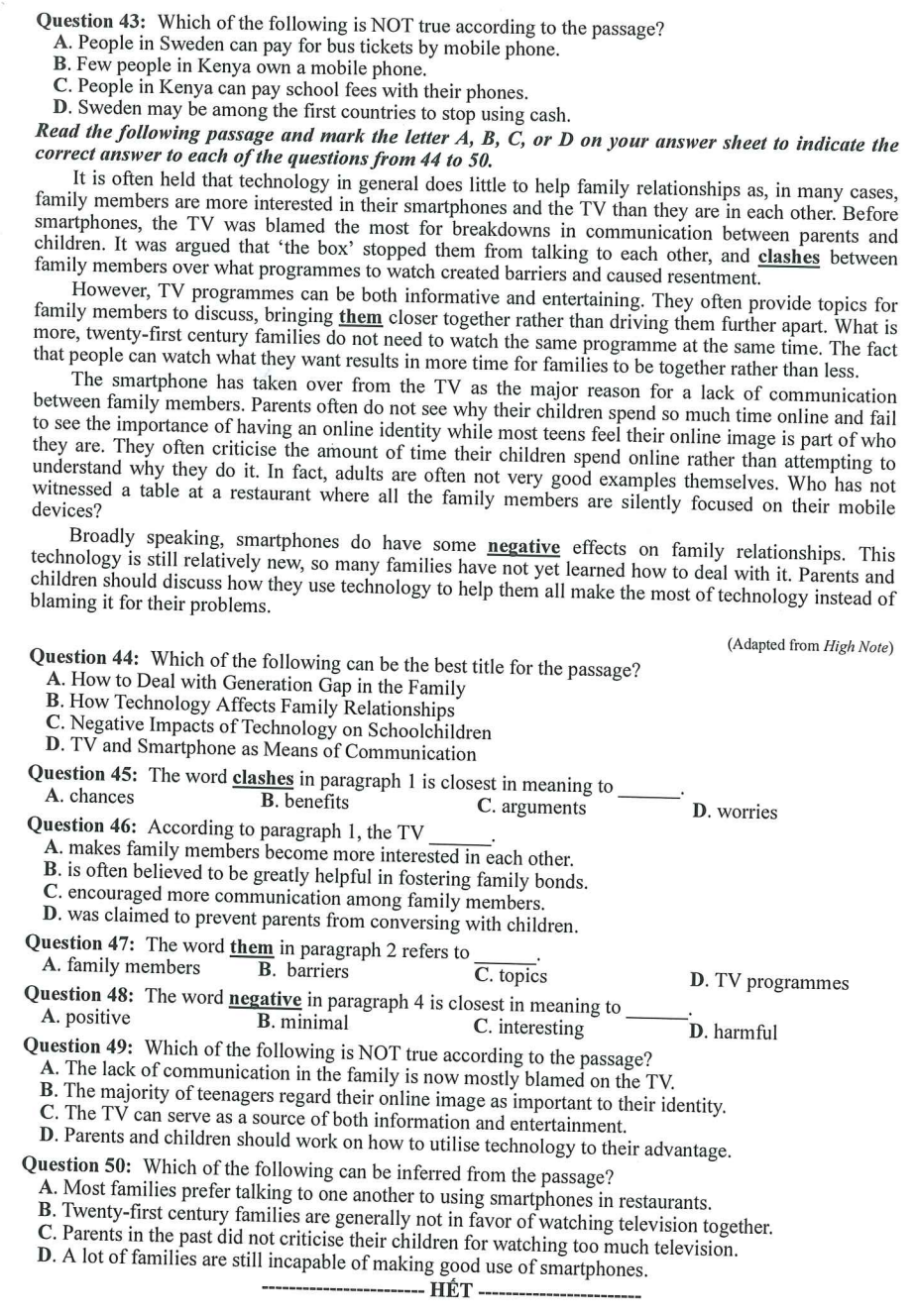
Gợi ý đáp án môn tiếng Anh đề minh hoạ thi tốt nghiệp THPT 2023.
Đề minh hoạ môn tiếng Anh thi tốt nghiệp THPT 2023:





Gợi ý đáp án môn tiếng Anh đề minh hoạ thi tốt nghiệp THPT 2023.
Đề minh hoạ môn tiếng Anh thi tốt nghiệp THPT 2023:




Nắng nóng gần 40 độ C nhưng tại các điểm thi lớp 10 ở Hà Nội chiều 30/5, phụ huynh vẫn kiên trì bám trụ cổng trường chờ con thi môn tiếng Anh.

Dưới đây là gợi ý đáp án môn tiếng Anh kỳ thi vào lớp 10 công lập Hà Nội năm 2026 được thực hiện bởi đội ngũ chuyên gia, thầy cô giàu kinh nghiệm.

Chiều 30/5, gần 125.000 thí sinh Hà Nội hoàn thành bài thi môn tiếng Anh kỳ thi vào lớp 10 công lập năm 2026 trong thời gian 60 phút.

(VTC News) - XSMB 30/5, cập nhật kết quả xổ số miền Bắc hôm nay ngày 30/5/2026, KQXSMB thứ 7, trực tiếp xổ số miền Bắc 30/5, tra cứu kết quả XSMB hôm nay.

(VTC News) - Vietlott 30/5, Vietlott Power 6/55 30/5, trực tiếp kết quả xổ số Vietlott hôm nay 30/5/20126, xổ số Power 6/55 30/5, xổ số Vietlott 30/5.

Một chai nước giải khát thường được uống hết chỉ trong vài phút; thế nhưng, thời gian gần đây, nhiều người không còn vội bỏ chai đi ngay như trước.
Viên sỏi gây tắc nghẽn đường tiểu trong thời gian dài, khiến thận phải bị ứ nước độ II và chức năng thận suy giảm nghiêm trọng.
Paris Saint-Germain lên kế hoạch chia tiền thưởng cho các cầu thủ trong trường hợp vô địch UEFA Champions League dù trận chung kết còn chưa diễn ra.
Quý 2 tiếp tục trở thành giai đoạn ghi dấu mạnh mẽ của Masterise Homes khi “nhà định chuẩn hàng hiệu” liên tục được vinh danh tại các giải thưởng quốc tế uy tín.

Tổng Bí thư, Chủ tịch nước Tô Lâm dự Lễ trồng cây tại Vườn Bách thảo Singapore do Thủ tướng Lawrence Wong chủ trì.

Chủ tịch Tập đoàn Hòa Bình cho biết đang tiếp tục nghiên cứu thử nghiệm dự án về tàu điện trên cao và dưới ngầm để tặng lại Nhà nước các kết quả nghiên cứu.

Tổng Bí thư, Chủ tịch nước Tô Lâm dâng hoa tưởng niệm Chủ tịch Hồ Chí Minh, thăm cơ sở nghiên cứu, ứng dụng công nghệ và hạ tầng giao thông hiện đại của Singapore.

Tổng Bí thư, Chủ tịch nước Tô Lâm ký Quyết định đặc xá năm 2026 cho 9.950 phạm nhân đang chấp hành án phạt tù, đủ điều kiện được hưởng đặc xá năm 2026.