Trong hình là 11 que diêm xếp thành 3 hình vuông. Hãy thay đổi vị trí 3 que diêm để còn 2 hình vuông.

Câu đố được giới thiệu tại Math is fun. Bạn mất bao lâu để tìm ra lời giải?
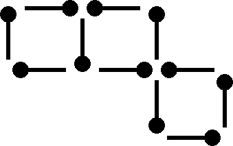
Trong hình là 11 que diêm xếp thành 3 hình vuông. Hãy thay đổi vị trí 3 que diêm để còn 2 hình vuông.

Câu đố được giới thiệu tại Math is fun. Bạn mất bao lâu để tìm ra lời giải?

Nghe qua thì ai cũng nghĩ 'dễ òm', nhưng càng ngẫm lại càng thấy lú, có người đọc đi đọc lại mấy lần vẫn chưa hiểu mẹo nằm ở đâu.

Chỉ cần di chuyển 1 que diêm, liệu bạn có thể biến phép tính sai thành đúng trong vài giây?

Không ít người phải 'đứng hình' vài phút mới đoán được đáp án.

Bộ Công Thương yêu cầu hệ thống kinh doanh xăng dầu phải đảm bảo nguồn cung xăng E5, E10 từ ngày 1/6/2026.

Tổng thống Trump đang họp tại Nhà Trắng để đưa ra “quyết định cuối cùng” về thỏa thuận sơ bộ gia hạn lệnh ngừng bắn giữa Mỹ và Iran, mở lại eo biển Hormuz.

Tổng Bí thư, Chủ tịch nước Tô Lâm phát biểu tại phiên khai mạc Đối thoại Shangri-La về chủ đề "Chủ động kiến tạo hoà bình - ổn định - phát triển trong một thế giới nhiều biến động".

Theo Bộ Công Thương, thực tế sử dụng xăng E10 tại các nước trong nhiều năm qua chưa ghi nhận bằng chứng E10 làm hỏng động cơ.

Chủ nhà thuốc Bảo Thanh Đường ở TP.HCM bị bắt để điều tra hành vi "sản xuất, buôn bán hàng cấm" là thuốc đông dược, số thuốc trị đã tiêu thụ trị giá hơn 10 tỷ đồng.

Tối nay (29/5) theo giờ địa phương tại Singapore, Tổng Bí thư, Chủ tịch nước Tô Lâm tới dự và có bài phát biểu dẫn đề quan trọng tại phiên khai mạc Đối thoại Shangri-La 2026- Diễn đàn an ninh hàng đầu khu vực châu Á-Thái Bình Dương.

Vingroup đề xuất di dời tuyến đường sắt từ ga Hà Nội đến Ngọc Hồi để phục vụ dự án mở rộng Quốc lộ 1A dài 36,3 km, quy mô 16 làn xe.

Trong 3 ngày diễn ra kỳ thi vào lớp 10, thời tiết Hà Nội có nắng nóng với nhiệt độ cao nhất là 35°C, trời không mưa.

Trước chung kết Champions League, con số chuyển nhượng cho thấy PSG và Arsenal đều đổ nhiều tiền nhưng chọn chiến lược đầu tư riêng để chinh phục đỉnh cao châu Âu.

Nguyễn Kỳ Dũng (tức Dũng Kỷ), kẻ có nhiều tiền án và tiếng tăm trong giới giang hồ, bị bắt khi công an mở rộng điều tra đường dây cá độ bóng đá trên mạng.

Nền tảng Hà Nội Smart Police có thể kết nối, phân tích dữ liệu từ camera thông thường bằng AI, hỗ trợ giám sát an ninh theo thời gian thực.

Nhân dịp tham dự và phát biểu dẫn đề tại Đối thoại Shangri-La lần thứ 23 tại Singapore, Tổng Bí thư, Chủ tịch nước Tô Lâm đã gặp Tổng thống Timor-Leste, José Ramos-Horta.

Tối 29/5, Tổng Bí thư, Chủ tịch nước Tô Lâm phát biểu dẫn đề tại Đối thoại Shangri-La lần thứ 23 - diễn đàn về quốc phòng - an ninh uy tín hàng đầu châu Á và trên thế giới.

Tiền đạo Michael Olaha là cái tên tiếp theo sẽ gia nhập CLB Công an TP.HCM để chuẩn bị cho mùa giải 2026/27.

Tổng Bí thư, Chủ tịch nước Tô Lâm có các cuộc tiếp xúc với Bộ trưởng Bộ Chiến tranh Hoa Kỳ Pete Hegseth, Phó Thủ tướng, Bộ trưởng Quốc phòng Australia Richard Marles, và Bộ trưởng Quốc phòng Nhật Bản Shinjiro Koizumi.

Xiaomi 17T series ghi dấu ấn bằng hệ thống ống kính tầm xa, tính năng bắt trọn khoảnh khắc động cùng khả năng kết nối liên kết, chia sẻ không dây vượt trội.

Bé trai sơ sinh còn nguyên dây rốn nằm trong thùng carton, được đặt trước cổng chùa ở Huế, chính quyền địa phương đang xác minh nhân thân.

Nhờ lực lượng CSGT khẩn trương mở đường, thanh niên bị khối sắt 6 tấn đè nát bàn tay do tai nạn lao động được đưa đến bệnh viện cấp cứu trong "thời gian vàng".

Dư luận cho rằng việc Tổng Bí thư, Chủ tịch nước Việt Nam tham dự và có bài phát biểu quan trọng tại một sự kiện đa phương về an ninh khu vực chứng tỏ vị thế vững chắc của Việt Nam.

Tổng thống Singapore và Phu nhân chủ trì tiệc chiêu đãi Tổng Bí thư, Chủ tịch nước Tô Lâm và Phu nhân và đoàn đại biểu cấp cao Việt Nam thăm cấp Nhà nước Singapore.

Tọa lạc bên Vịnh di sản, Vinhomes Global Gate Hạ Long đang tái định nghĩa khái niệm “nhà sát biển” bằng con số ấn tượng: 200km đường bờ biển dừa xanh, cát trắng.

Do thiếu tiền tiêu xài, tối 27/5, 3 thanh niên này nảy sinh ý định tìm người đi xe máy một mình để chặn lại, giả danh cảnh sát hình sự hù dọa, chiếm đoạt tiền.

HEINEKEN Việt Nam vừa được Great Place to Work® vinh danh trong Top 10 Nơi làm việc xuất sắc hàng đầu Việt Nam ở hạng mục Doanh nghiệp lớn.

Theo ông Vũ Đại Thắng, Hà Nội sẽ phát triển cân bằng giữa nhà ở bán, nhà ở thuê và thuê mua; ưu tiên quỹ nhà ở cho thuê giá phù hợp cho công nhân, lao động trẻ...

Ý nghĩa đích thực của Lễ Phật đản (Vesak) không nằm ở nghi lễ bên ngoài, mà là hành trình thức tỉnh tâm linh và tìm lại sự bình an tự tại ngay giữa lòng thế gian.

Các chương trình liên quan đến huy động vốn hay sử dụng vàng làm phương tiện thanh toán trực tiếp hoặc gián tiếp nếu vi phạm sẽ bị xử lý nghiêm.

Từ ngày 1/7, trợ cấp hằng tháng đối với cán bộ xã, phường, thị trấn già yếu đã nghỉ việc được điều chỉnh tăng 8% so với mức hiện hưởng.

Từ 1/6, VEC thu phí tại hai nút giao Phú Thứ và Liêm Sơn, mức phí được tính theo quãng đường thực tế của xe chạy trên cao tốc Cầu Giẽ - Ninh Bình.

Chủ tịch Quốc hội Trần Thanh Mẫn đề nghị TP.HCM khẩn trương hoàn thiện dự thảo Luật Đô thị đặc biệt để TP có cách phát triển mới, cùng khung thể chế vượt trội.

Trong số 17 xã miền núi có nhu cầu bố trí nhà ở công vụ ở Đà Nẵng thì 14 xã đề xuất xây mới với tổng kinh phí dự kiến khoảng 112 tỷ đồng.