
Hướng dẫn giải đề Toán vào lớp 10 công lập ở Hà Nội
Đề thi năm nay có cấu trúc tương tự đề thi năm ngoái với 5 câu hỏi được phân bố ở các kiến thức trong chương trình lớp 9.

Đề thi năm nay có cấu trúc tương tự đề thi năm ngoái với 5 câu hỏi được phân bố ở các kiến thức trong chương trình lớp 9.

Trong ngày thi đầu, toàn thành phố có hơn 500 thí sinh vắng mặt, 11 trường hợp thí sinh vi phạm quy chế trong ngày thi đầu tiên vào lớp 10 công lập.

Bên cạnh nhận định tích cực của thí sinh về đề thi Toán ở Hà Nội, vẫn có những thí sinh ra khỏi phòng thi khóc thút thít vì không đạt kết quả như mong muốn.

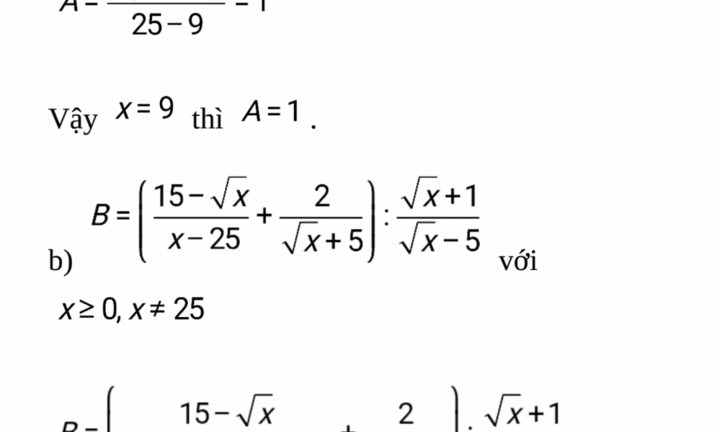
Chuyên gia nhận định, đề thi năm nay có cấu trúc tương tự năm ngoái, thí sinh cần có tư duy và phân tích tốt thì mới đạt điểm tối đa.

Lãnh đạo Sở GD&ĐT TP.HCM thừa nhận có sai sót trong câu 33 của đề thi tuyển sinh lớp 10 năm học 2019 môn tiếng Anh.

Chuyên gia đánh giá đề thi có tính phân loại, độ khó nhỉnh hơn năm 2018, nặng về kiểm tra kiến thức từ vựng của thí sinh.

Chiều 2/6, thí sinh thi vào lớp 10 tại TP.HCM hoàn thành bài thi tiếng Anh, thời gian 60 phút.

Nhiều thí sinh phản ánh câu 33 trong đề tiếng Anh kỳ thi tuyển sinh vào lớp 10 ở TP.HCM bị sai.

Chuyên gia đánh giá đề thi Văn vào lớp 10 tại TP.HCM cho thí sinh thể hiện năng lực cảm thụ và quan điểm cá nhân, giảm nhẹ các câu lý thuyết.

Kết thúc môn thi Ngữ văn vào sáng 2/6, nhiều thí sinh nhận xét đề thi năm nay dễ dàng được đoán trước, người học trung bình cũng có thể đạt điểm cao.

Chuyên gia nhận định, đề thi năm nay có nhiều thay đổi so với năm trước, có yếu tố bất ngờ, mới mẻ, tính phân loại cao.

Nhiều thí sinh tham gia vào lớp 10 hệ không chuyên hoàn thành xong môn thi Ngữ văn, các em đánh giá đề không khó, vừa sức.

2019 là năm đầu tiên các thí sinh thi tuyển vào lớp 10 phải thi 4 môn, trong đó Lịch sử là môn thi khiến nhiều phụ huynh và học sinh lo lắng.

Nhằm đảm bảo an toàn cho kỳ thi tuyển sinh lớp 10, Hà Nội lắp đặt hệ thống camera giám sát nghiêm ngặt tại các điểm thi.

Chuyên gia cho rằng, đề bài này hứa hẹn có sự phân loại cao, phù hợp với kỳ thi tuyển sinh, các vấn đề khá quen thuộc mà vẫn hứa hẹn những khám phá mới mẻ.

Đề thi môn Sinh học dành cho thí sinh chuyên của trường THPT Chuyên Sư phạm Hà Nội được đánh giá là vừa sức với nhiều em.

Nhận định về đề thi Văn, nhiều thí sinh cho biết đề không khó, nhưng đòi hỏi kỹ năng cảm thụ và hiểu biết ngoài kiến thức được học trong chương trình phổ thông.

Các thí sinh ra khỏi phòng thi môn Ngữ văn sáng nay (29/5) với tâm trạng vui vẻ, các em đánh giá đề thi vừa sức mình và phù hợp với thời gian làm bài.

Chuyên gia đánh giá đề thi Toán vào lớp 10 trường THPT Chuyên Sư phạm Hà Nội có nội dung quen thuộc, giảm nhẹ về độ khó, phù hợp làm đề thi điều kiện.

Đề thi môn Ngữ văn vào lớp 10 Trường Phổ thông Năng khiếu ở TP.HCM có 2 câu tự luận, riêng câu Nghị luận xã hội được nhận xét hay, học sinh có nhiều chọn lựa.

Chuyên gia đánh giá đề thi khá dài, thí sinh khó có thể làm xong 150 phút với phạm vi kiến thức trải rộng từ lớp 8 đến lớp 9.

Đề thi môn Hóa vào lớp 10 trường Phổ thông Năng khiếu ở TP.HCM có 6 câu tự luận, được nhận xét là nhiều kiến thức nâng cao.

Nhiều thí sinh cho rằng đề thi Hoá học trường THPT Chuyên Khoa học tự nhiên có tính phân loại học sinh cao, nhất là ở câu hỏi về hữu cơ.

Nhiều thí sinh cho biết có thể đạt từ 5 đến 7 điểm với đề thi môn Vật lý Chuyên Khoa học Tự nhiên (ĐH Quốc gia Hà Nội) năm 2019.

Chuyên gia cho biết, đề thi Sinh của trường THPT Chuyên Khoa học Tự nhiên Hà Nội đòi hỏi thí sinh có năng lực để hoàn thành bài trong thời gian eo hẹp.

Nhiều thí sinh thi chuyên Toán-Tin tại THPT chuyên Khoa học Tự nhiên (ĐHQGHN) đánh giá câu hỏi hình học tương đối "khó nhằn" khiến các em lúng túng.

Nhiều thí sinh thi chuyên Toán - Tin trường THPT Chuyên Khoa học Tự nhiên (ĐHQGHN) cho biết đề thi năm nay khó, đặc biệt ở phần hình học.

Đề thi nghị luận xã hội của trường THPT chuyên Ngoại ngữ (ĐHQGHN) năm 2019 đưa vào 4 câu thơ không nằm trong chương trình lớp 9 khiến nhiều thí sinh lúng túng.

Sau buổi thi đầu tiên lớp 10 THPT chuyên Khoa học Tự nhiên Hà Nội, lượng phụ huynh và thí sinh đổ ra đường quá đông, gây ùn tắc kéo dài trước cổng trường.

Bước ra khỏi phòng thi các môn Ngoại ngữ, nhiều thí sinh bày tỏ sự lo lắng do đề thi chính thức khó hơn nhiều so với đề thi thử.