(VTC News)- Báo điện tử VTC News giới thiệu đề thi, gợi ý đáp án môn Tiếng Anh kỳ thi tốt nghiệp THPT 2014.
Gợi ý đáp án môn Tiếng Anh kỳ thi tốt nghiệp THPT 2014 do các giáo viên uy tín của Trung tâm Học Mãi thực hiện
Dap_an_Tieng_Anh_-_TN_2014_v2.doc
![]() |
![]() |
![]() |
Nguồn: Hocmai.vn
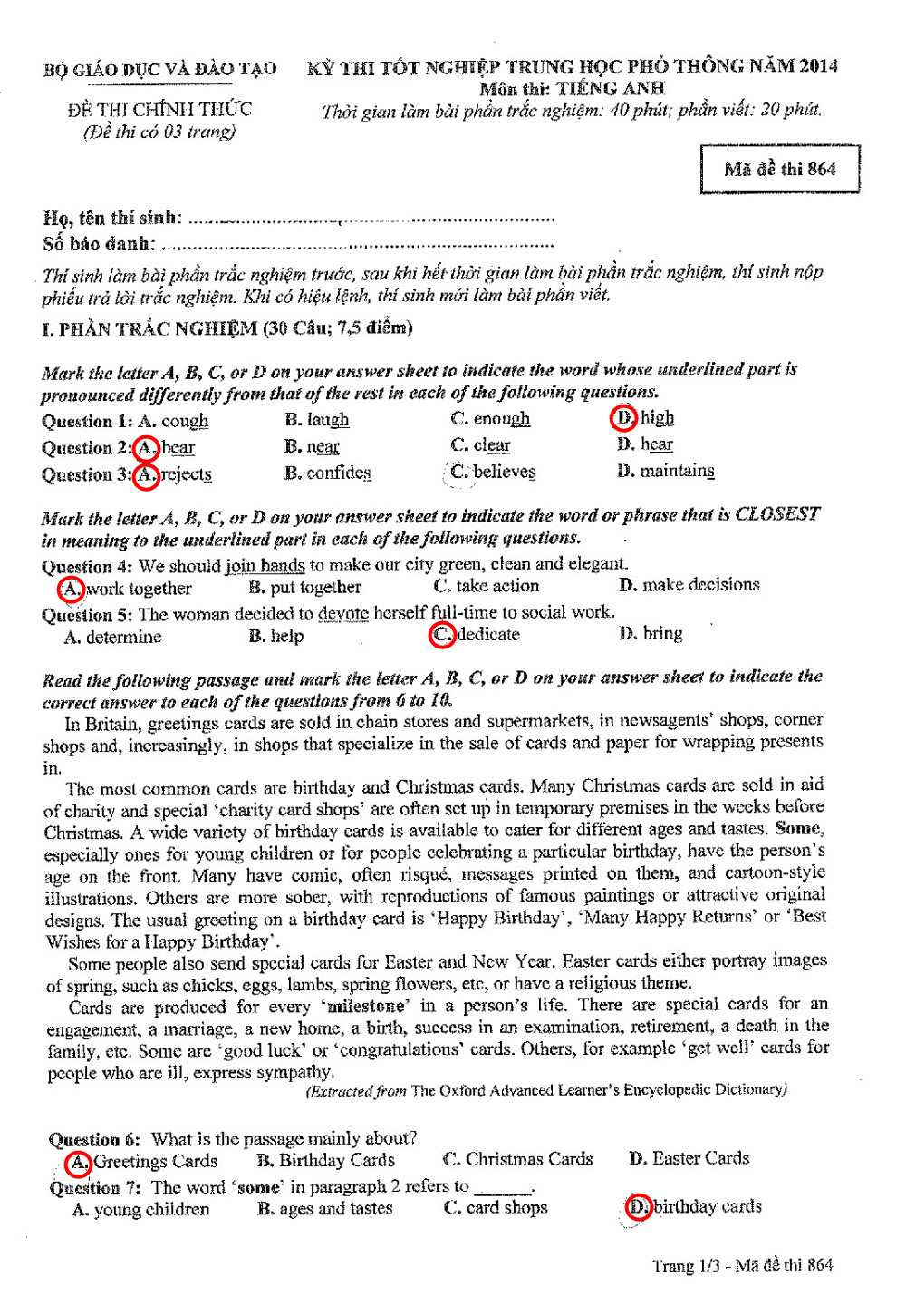
Đề thi tốt nghiệp THPT môn Tiếng Anh
![]() |
![]() |
![]() |
PV








Bình luận