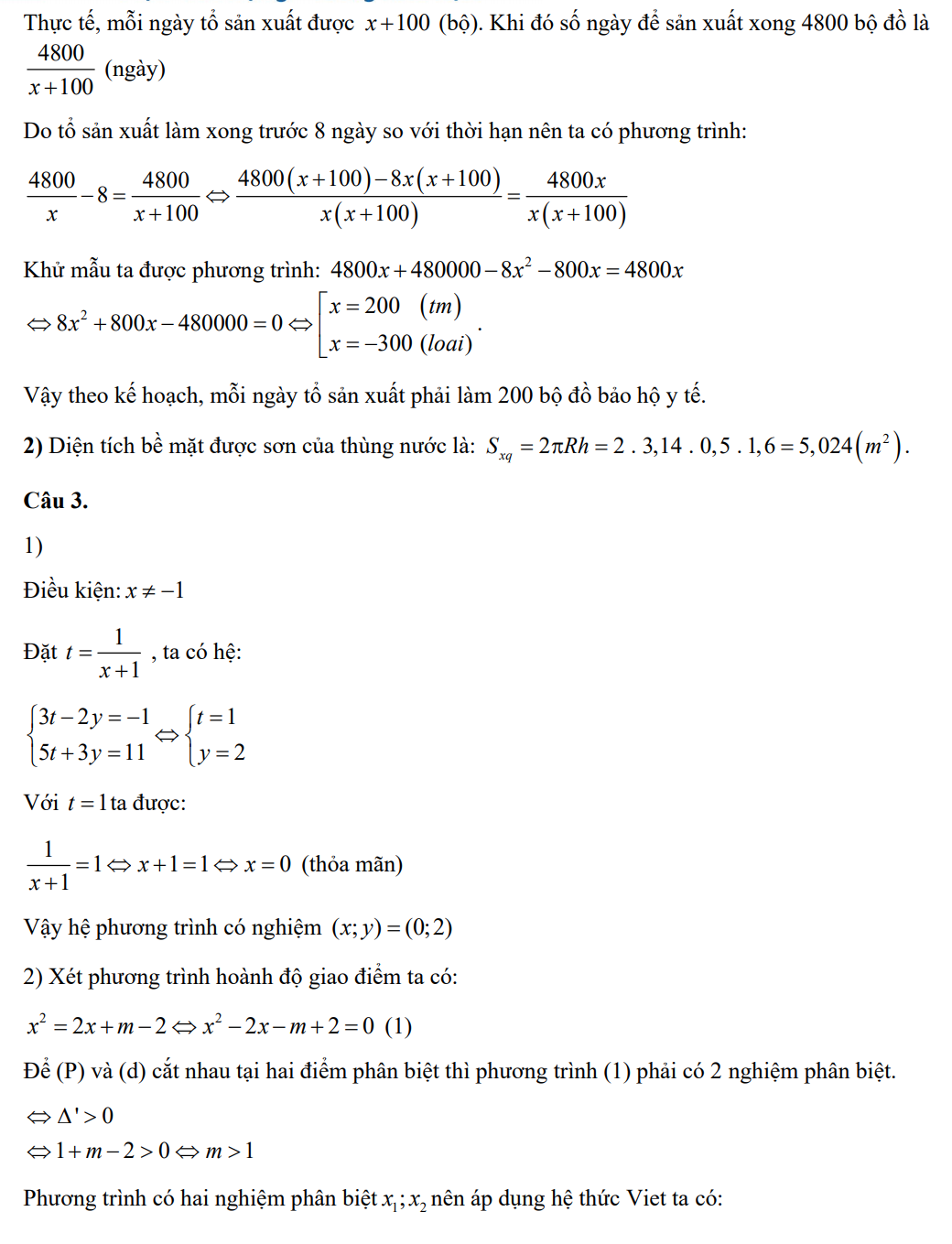
Nhìn chung, các giáo viên đều nhận định, đề thi môn Toán năm nay giữ được tính ổn định về cấu trúc so với các năm gần đây. Các yêu cầu về kiến thức và kỹ năng đã được giảm nhẹ để phù hợp với thời gian làm bài thực tế giảm từ 120 phút xuống 90 phút và điều kiện ôn tập của học sinh. Bên cạnh đó, đề vẫn có sự phân hóa để đảm bảo yêu cầu, tính chất của một đề thi tuyển sinh.
Cấu trúc đề thi vẫn bao gồm 5 bài toán lớn, mỗi bài có nhiều ý nhỏ được sắp xếp theo thứ tự từ dễ đến khó với các dạng bài đã rất quen thuộc nhằm tránh gây ra sự xáo trộn, bỡ ngỡ cho thí sinh. Tuy nhiên, để phù hợp với thời gian làm bài thi, các câu hỏi trong đề đã được điều chỉnh giảm số ý và độ khó. Cụ thể như sau:
Bài 1. So với đề thi năm 2020 - 2021, đề năm 2021 - 2022 giảm bớt ý thứ 3 – là câu hỏi ở mức độ vận dụng, đòi hỏi thí sinh vận dụng nhiều kiến thức để giải quyết yêu cầu của bài toán.
Bài 2. Không có sự thay đổi về độ khó và dạng bài. Ý đầu là giải bài toán bằng cách lập phương trình – hệ phương trình gắn liền với thực tế. Thí sinh cần có khả năng phân tích đề, chọn từ khóa và dữ kiện mấu chốt để giải quyết bài toán. Ý thứ 2 là câu hỏi liên quan đến hình học không gian, thí sinh chỉ cần vận dụng đúng công thức là tìm ra đáp án
Bài 3. Không có sự thay đổi về độ khó và dạng bài, cấu trúc tương tự các năm gần đây, gồm câu hỏi giải hệ phương trình đưa về bậc nhất và một ý về hàm bậc hai, trong đó có sử dụng định lý Vi-ét ở mức độ quen thuộc.
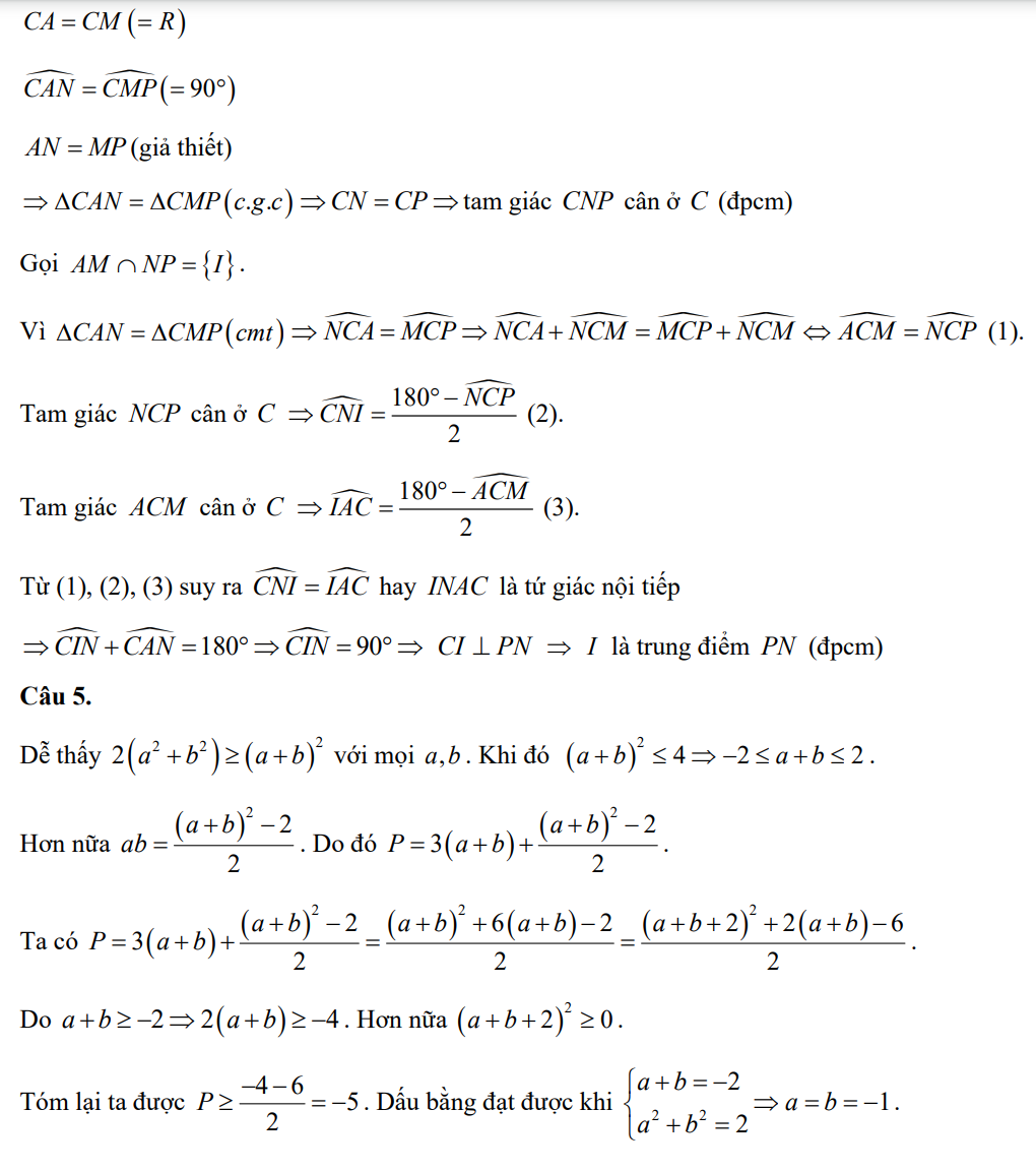
Bài 4. Như thường lệ vẫn là bài về hình học. So với đề thi năm 2020-2021, đề này đã giảm bớt ý 3. Tuy nhiên, ý thứ 2 của đề thi đã tăng độ khó so với ý 2 câu 4 năm ngoái nhằm mục tiêu phân loại thí sinh.
Bài 5. Vẫn là câu hỏi về bất đẳng thức và có tính phân loại thí sinh. Tuy nhiên, thí sinh chỉ cần có kỹ năng biến đổi khéo léo một chút là có thể xử lý được.
Thí sinh tham gia thi vào lớp 10 tại Hà Nội.
Nhìn chung, đề thi vẫn chú trọng đánh giá các yêu cầu về kiến thức, yếu tố thực tế chưa chiếm tỷ lệ cao. Đề thi giảm về độ khó và bớt một số ý trong câu hỏi cho phù hợp với tính hình thực tế. Tuy nhiên, với thời gian làm bài 90 phút, việc hoàn thành 5 câu hỏi vẫn là thách thức lớn đối với nhiều thí sinh; đòi hỏi các em phải nhanh và chính xác trong từng câu để có thể hoàn thành tốt bài thi.
Thầy Nguyễn Mạnh Cường, giáo viên môn Toán, Trường THPT Chuyên Hà Nội – Amsterdam nhận định, đề thi tuyển sinh lớp 10 môn Toán của Sở GD&ĐT Hà Nội có cấu trúc và dạng bài giống các năm gần đây. Tuy nhiên, số lượng câu hỏi đã giảm bớt đáng kể, đặc biệt giảm một số ý mang tính phân loại học sinh.
Tuy nhiên theo thầy, nhìn chung đề thi này phù hợp với thời lượng 90 phút và vẫn đảm bảo tính phân loại học sinh. Phổ điểm chung mà các em có thể đạt được là 8 điểm. Vi những học sinh ôn tập bài bản và kỹ thì điểm 9 là điều hoàn toàn có thể đạt được.
Thầy Hồng Trí Quang, giáo viên Toán, Trường THCS Archimedes Academy (Hà Nội) cũng đánh giá: Đề Toán năm nay đã được giảm bớt 2 ý vận dụng thường thấy trong cấu trúc đề thi: Bài 1c (căn thức) và bài 4 (câu Hình học ý c) và giảm mức độ khó của các ý còn lại. Đó là những đơn vị kiến thức đòi hỏi nhiều thời gian suy nghĩ.
Cấu trúc đề thi này vẫn đảm bảo kiểm tra được kiến thức cơ bả; hai ý vận dụng còn lại (một phần ý 2 của bài 4 Hình và bài 5), cũng đủ phân loại học sinh giỏi trong khoảng thời gian giới hạn 90 phút. Hai ý phân loại năm nay ở mức vừa phải so với mọi năm. Ý về Hình học, nếu học sinh nhận ra đường thẳng Simson thì sẽ làm khá nhanh, còn bài 5 cũng là dạng quen thuộc với nhiều học sinh giỏi.
Thầy Lưu Huy Thưởng, giáo viên môn Toán, Hệ thống Giáo dục HOCMAI cho biết, năm nay, độ khó và số lượng câu hỏi của đề giảm đi nhưng nội dung về cơ bản vẫn được giữ nguyên. Với việc thời gian làm bài giảm 1/4, thí sinh cần có sự tỉ mỉ và chính xác trong quá trình làm bài để tránh mất điểm.
Theo thầy, các đơn vị kiến thức trong đề đều nằm ở chương trình học, theo đúng định hướng tinh giản của Bộ GD&ĐT. Phổ điểm sẽ phổ biến ở mức 7 - 8 điểm.




















Bình luận