



* VTC News tiếp tục cập nhật
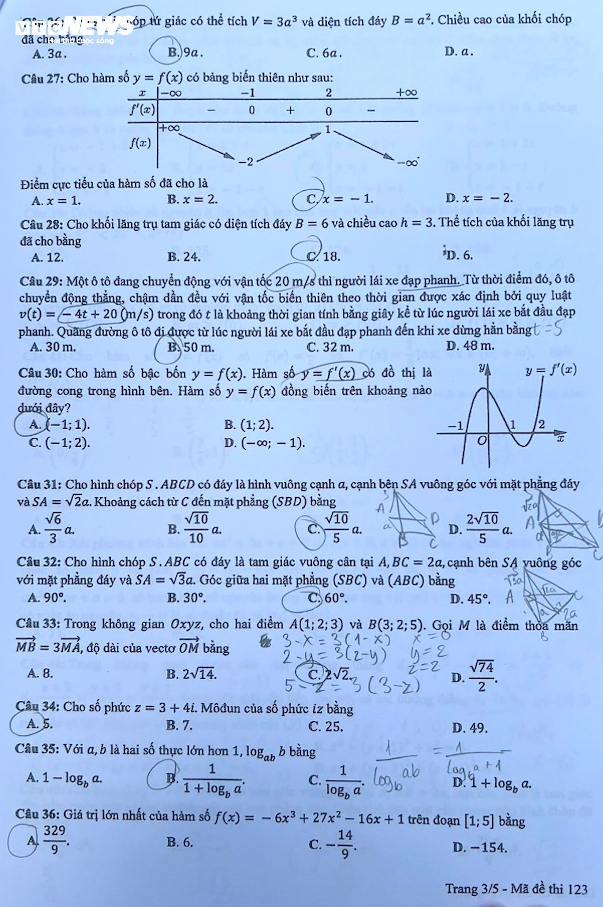
Chiều nay kỳ thi tốt nghiệp THPT 2024 tiếp tục với môn Toán trong thời gian 90 phút, hình thức trắc nghiệm. Dưới đây là đề Toán thi tốt nghiệp THPT 2024:
Mùa thi năm nay, cả nước có 1.067.391 thí sinh đăng ký dự thi trên hệ thống đăng ký thi của Bộ GD&ĐT. Trong đó, số thí sinh tự do đăng ký dự thi là 45.344.
Các tỉnh, thành phố có thí sinh đăng ký dự thi nhiều nhất gồm: Hà Nội (109.078 thí sinh), TP.HCM (88.196 thí sinh), Thanh Hóa (38.677 thí sinh).
Các tỉnh có số thí sinh đăng ký dự thi ít nhất gồm: Kon Tum (5.052 thí sinh), Lai Châu (4.211 thí sinh), Bắc Kạn (3.180 thí sinh).
Chậm nhất 17h ngày 14/7, các Ban chỉ đạo cấp tỉnh, các hội đồng thi tổ chức chấm thi, tổng kết công tác chấm thi, gửi dữ liệu kết quả thi về Bộ GD&ĐT, đối sánh kết quả thi.
Công bố điểm thi vào lúc 8h ngày 17/7. Thí sinh có thể tra cứu điểm thi theo hệ thống của Bộ GD&ĐT, các Sở GD&ĐT hoặc trên báo chí.
Chậm nhất ngày 19/7, các Sở GD&ĐT xét công nhận tốt nghiệp THPT.
Chậm nhất ngày 21/7, các Sở GD&ĐT cập nhật vào hệ thống quản lý thi, gửi báo cáo kết quả xét công nhận tốt nghiệp THPT về Bộ GD&ĐT, công bố kết quả tốt nghiệp THPT.


















Bình luận