Báo điện tử VTC News sẽ cập nhật nhanh nhất đáp án đề thi môn Toán 2017 sớm nhất.
Chiều nay (22/6), hơn 860.000 thí sinh trên cả nước sẽ bắt đầu làm bài thi môn Toán kỳ thi THPT Quốc gia 2017.
Đáp án môn Toán tất cả các mã đề:
Dap an Toan tat ca ma de.pdf
635.68k
Đáp án môn Toán mã đề 105:
Dap an mon Toan ma de 105 chuan.pdf
461.27k
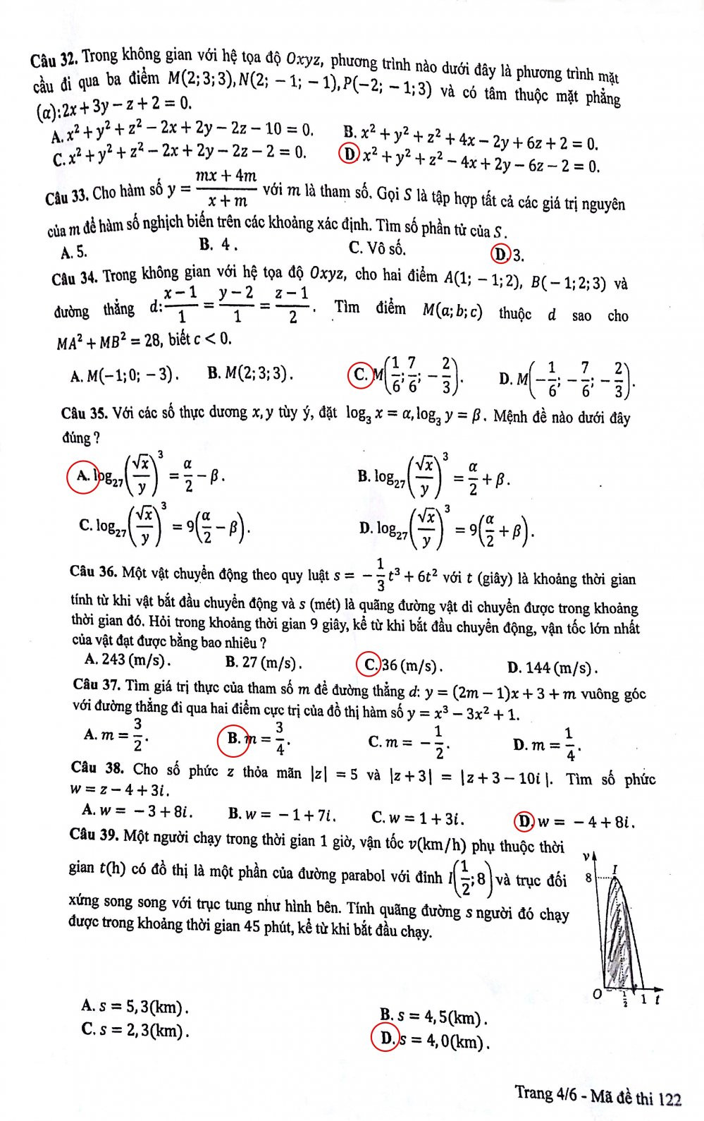
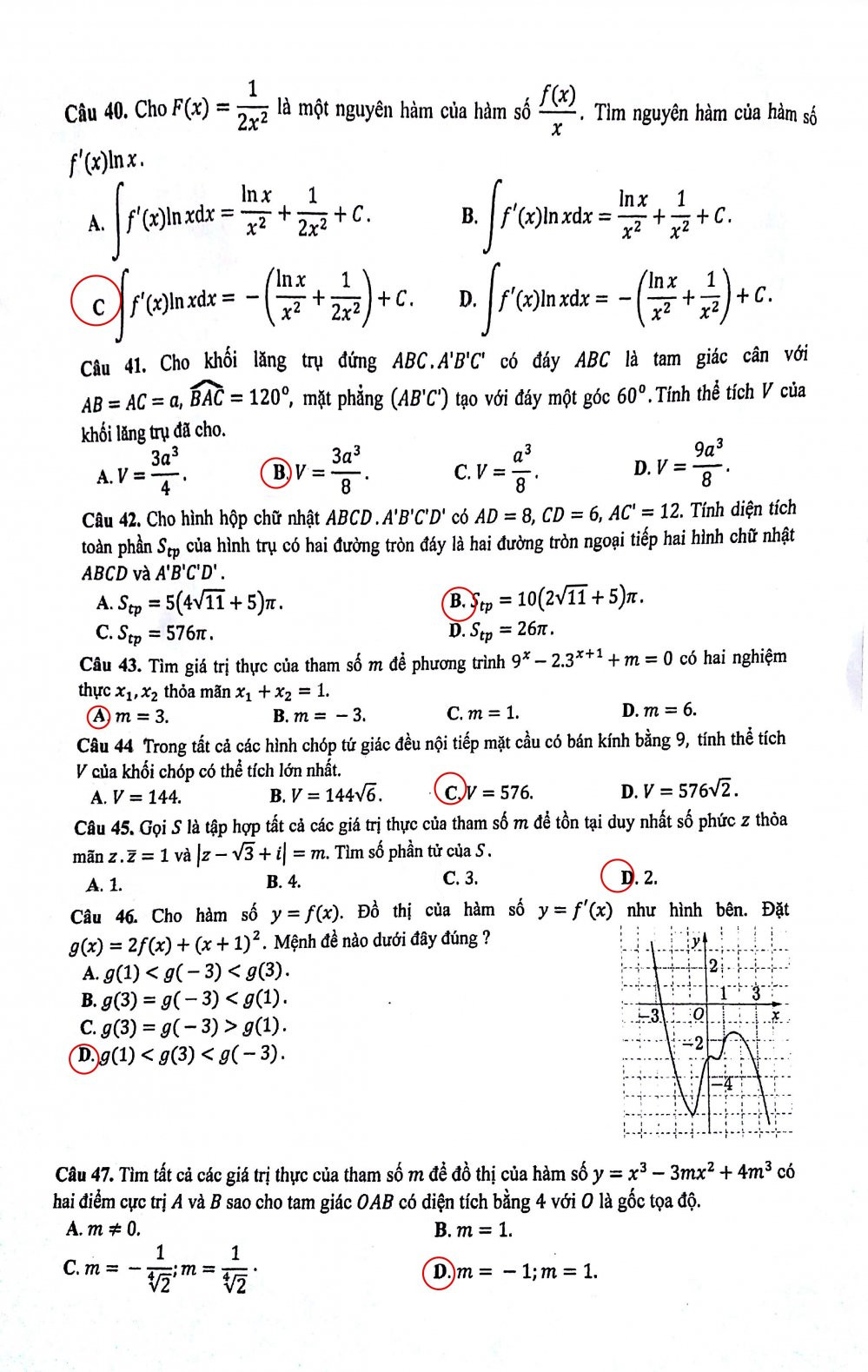
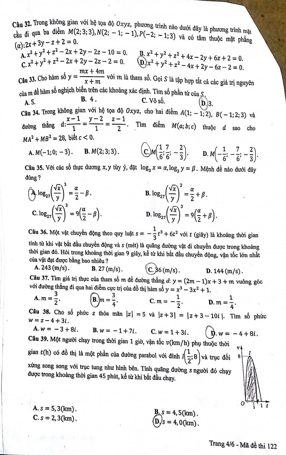
Đáp án môn Toán mã đề 122

Đáp án môn Toán mã đề 122
Đáp án môn Toán mã đề 122:






Nhận định về đề thi môn Toán kỳ thi THPT Quốc gia 2017
NHẬN ĐỊNH ĐỀ THI TOÁN 2017.pdf
309.72k
Mã đề 122






Mã đề 105






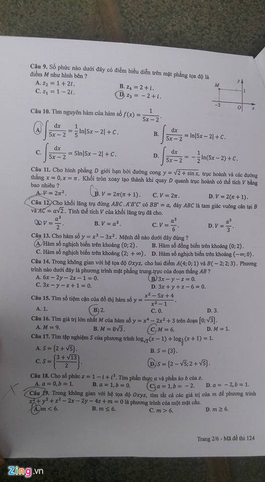
Mã đề 124







Lịch thi môn Toán THPT Quốc gia 2017:

Video: Những điểm mới của kỳ thi THPT Quốc gia 2017















Bình luận