Thông báo từ Cảng hàng không quốc tế Tân Sơn Nhất, từ ngày 20/6 - 28/6, các chuyến bay của hãng hàng không Eva Air từ sân bay Tân Sơn Nhất (TP.HCM) đến sân bay quốc tế Đào Viên (Đài Bắc) và ngược lại sẽ bị huỷ do tiếp viên đình công.
Hiện lãnh đạo hãng hàng không Eva Air đang đàm phán với liên đoàn tiếp viên để sớm đạt được kết quả thoả thuận, đưa hoạt động khai thác các chuyến bay Eva trở lại bình thường.

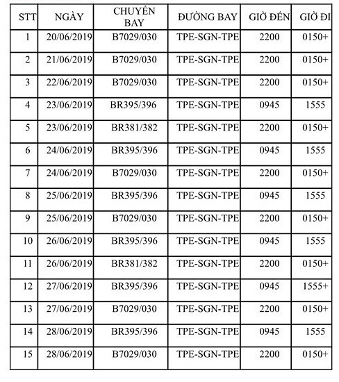
Lịch huỷ chuyến của hãng Eva Air tại Cảng hàng không quốc tế Tân Sơn Nhất.
Cảng hàng không quốc tế Tân Sơn Nhất đề nghị hành khách chú ý theo dõi thông tin về sự kiện này, đồng thời liên hệ với hãng hàng không để được tư vấn và sắp xếp các chuyến bay phù hợp với hành trình cá nhân.
Theo thông báo, có tất cả 15 chuyến bay của hãng Eva Air tại Cảng hàng không quốc tế Tân Sơn Nhất bị hủy.


Bình luận