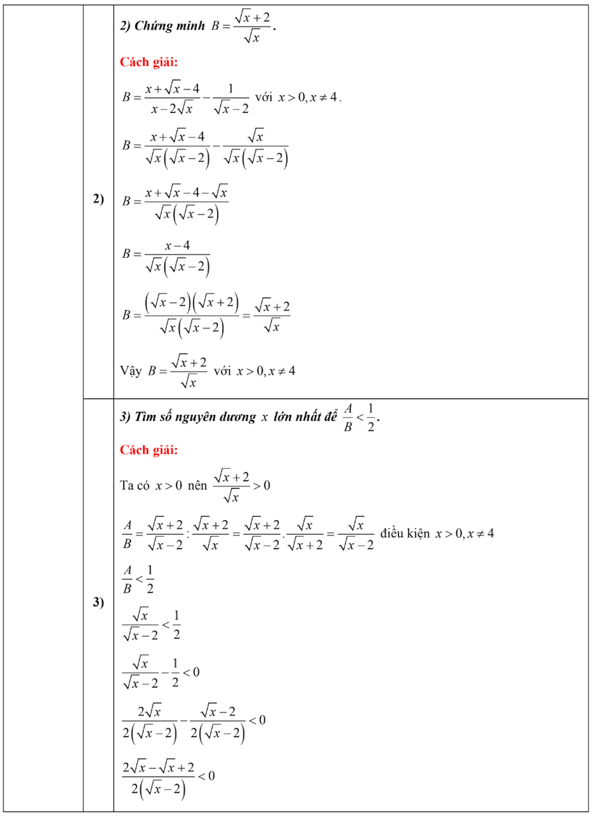
Đáp án môn Toán thi và lớp 10 Hà Nội 2025 do các giáo viên thuộc hệ thống Tuyensinh247 thực hiện:
>> ĐỀ TOÁN THI VÀO LỚP 10 HÀ NỘI 2025












Các thí sinh dự thi lớp 10 THPT công lập Hà Nội đã hoàn thành 3 bài thi: Toán, Ngữ văn, Ngoại ngữ. Hai bài thi Toán và Ngữ văn diễn ra theo hình thức tự luận, thời gian làm bài 120 phút mỗi môn. Với môn Ngoại ngữ, thí sinh thi trắc nghiệm trong 60 phút, chọn một trong các thứ tiếng: Anh, Pháp, Đức, Nhật, Hàn.
Những thí sinh thi trường chuyên sẽ thi thêm môn chuyên vào ngày 9/6.
Điểm xét tuyển vào trường không chuyên là tổng điểm ba môn theo thang 10, không nhân hệ số cùng điểm ưu tiên, khuyến khích (nếu có). Đây là điểm mới so với những năm trước. Với trường chuyên, điểm xét là tổng bốn môn, với môn chuyên nhân hệ số hai, tương tự mọi năm.
Năm nay, Hà Nội có khoảng 127.000 học sinh tốt nghiệp THCS, trong đó khoảng 103.000 em đăng ký thi lớp 10 công lập. Theo Sở GD&ĐT, ít nhất có 64% học sinh đăng ký dự thi trúng tuyển vào lớp 10 THPT công lập, tương đương hơn 81.000 em.
Dự kiến, trong khoảng 4-6/7, Sở GD&ĐT Hà Nội sẽ đồng thời công bố điểm thi và điểm chuẩn lớp 10. Thí sinh trúng tuyển xác nhận nhập học từ ngày 10-12/7.
















