Ngày 30/7, Bộ giáo dục và Đào tạo vừa thông tin về việc 58 bài thi trắc nghiệm điểm 0 được tăng điểm sau chấm phúc khảo tại Hội đồng thi Sở Giáo dục và Đào tạo tỉnh Tây Ninh.
Theo ông Sái Công Hồng - Phó Cục trưởng Cục Quản lý chất lượng, trong quá trình đối soát dữ liệu điểm thi từ các địa phương gửi về, Bộ GD&ĐT phát hiện những bất thường về điểm thi của một số bài thi trắc nghiệm tại Hội đồng thi tỉnh Tây Ninh. Bộ lập tức chỉ đạo Ban Chấm chi trắc nghiệm và Sở GD&ĐT tỉnh Tây Ninh rà soát, báo cáo Bộ GD&ĐT.
Sau khi nhận được báo cáo của Sở GD&ĐT tỉnh Tây Ninh, Bộ chỉ đạo Sở tổ chức gặp gỡ 34 thí sinh và gia đình các em ngay sau khi công bố kết quả thi để trao đổi, động viên các em.
Đồng thời, để đảm bảo quyền lợi của thí sinh và thực hiện đúng quy chế thi, Bộ yêu cầu đưa những bài thi này vào diện chấm phúc khảo và yêu cầu cập nhật, công bố kết quả phúc khảo để thí sinh kịp thời sử dụng trong xét tuyển sinh đại học, cao đẳng.
Ông Sái Công Hồng cũng cho biết, việc 58 bài thi trắc nghiệm của 34 thí sinh bị điểm 0 là hiện tượng cá biệt, chỉ xảy ra ở Hội đồng thi Sở GĐ&ĐT tỉnh Tây Ninh.



Trong báo cáo gửi Bộ GD&ĐT về kết quả chấm phúc khảo các bài thi trắc nghiệm bị điểm 0 kỳ thi THPT Quốc gia 2019, Sở GD&ĐT tỉnh Tây Ninh cho biết, việc chấm phúc khảo được thực hiện theo đúng quy trình của Bộ.
Cụ thể, Ban phúc khảo rút bài thi của thí sinh, đối chiếu với biên bản thu bài thi, sơ đồ phát đề thi và dữ liệu ảnh quét của thí sinh để kiểm tra tính chính xác, xác định rõ nguyên nhân rồi mới thực hiện chấm điểm.
Sau khi chấm phúc khảo, 58 bài thi trắc nghiệm của 34 thí sinh thuộc Hội đồng thi Sở GĐ&ĐT tỉnh Tây Ninh được trả về kết quả thực. Nguyên nhân vụ việc do thí sinh tô sai mã đề, tô nhầm số báo danh và tô mờ đáp án.
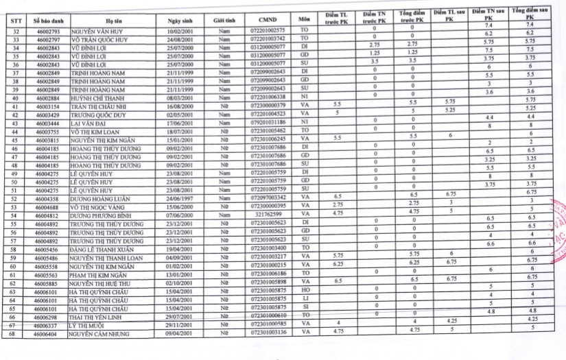
Trước đó, theo kết quả chấm phúc khảo kỳ thi THPT Quốc gia 2019 tại Tây Ninh, trong tổng số 95 bài thi tăng điểm sau chấm phúc khảo có 58 bài thi trắc nghiệm bị điểm 0. Bài tăng điểm nhiều nhất là từ 0 lên đến 8,75; bài tăng ít nhất từ 0 lên 2 điểm. Nhiều bài thi thay đổi từ 0 lên 7 - 7,5 điểm sau chấm phúc khảo.
Đặc biệt, có trường hợp điểm thay đổi từ 0 lên 8 hoặc hơn. Em Lê Quang Huy và em Nguyễn Thị Thu Thảo sau chấm phúc khảo môn giáo dục công dân có điểm số thay đổi từ 0 lên 8. Cũng môn thi này, em Nguyễn Thị Kim Thoa sau phúc khảo điểm từ 0 lên 8,75. Em Lê Quang Kỳ với điểm phúc khảo môn Vật lý tăng từ 0 lên 8,5.
Ngoài số bài thi bị điểm 0, có 4 bài thi trắc nghiệm khác cũng tăng điểm phúc khảo. Ở môn Ngữ văn có 33 bài thi tăng điểm sau phúc khảo. Số điểm tăng dao động từ 0,25 đến 0,75 điểm. Bài tăng điểm nhiều nhất là 1,75.
Sau kỳ thi THPT Quốc gia 2019, Sở GD&ĐT tỉnh Tây Ninh cho biết, toàn tỉnh có 7.942 được xét công nhận tốt nghiệp trong tổng số 8453 thí sinh dự thi (tỷ lệ 93,95%). Nếu so với năm 2018, tỷ lệ tốt nghiệp của Tây Ninh năm nay giảm 3,24%.
Trong đó, khối THPT có tỷ lệ tốt nghiệp là 95,76%; GDTX: 56,54% và học sinh tự do đạt 25,42%. 8 trường có tỷ lệ tốt nghiệp từ 99% trở lên. Trung tâm giáo dục thường xuyên thị xã Gò Dầu chỉ có 30,9%% học sinh đỗ tốt nghiệp














Bình luận