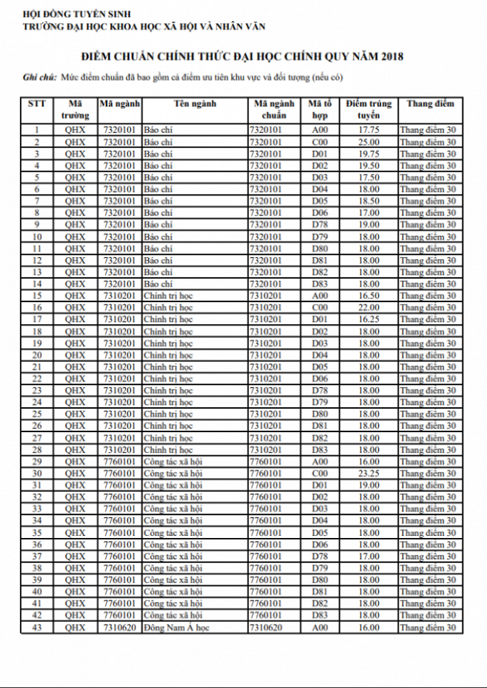
Đại học Quốc gia Hà Nội thông báo điểm trúng tuyển đại học chính quy năm 2018 vào các ngành/chương trình đào tạo trình độ đại học của các trường đại học thành viên, khoa trực thuộc.
Cụ thể như sau:


















Đại học Quốc gia Hà Nội thông báo điểm trúng tuyển đại học chính quy năm 2018 vào các ngành/chương trình đào tạo trình độ đại học của các trường đại học thành viên, khoa trực thuộc.
Cụ thể như sau:



















Từ học sinh giỏi quốc tế, người khuyết tật đến vận động viên, nhiều nhóm thí sinh được miễn thi hoặc xét đặc cách tốt nghiệp THPT theo quy định mới của Bộ GD&ĐT.

Sở GD&ĐT Hà Nội vừa công bố danh sách các trường THPT có số lượng nguyện vọng đăng ký dự thi lớp 10 cao sau 5 ngày mở hệ thống đăng ký.

Hà Nội cho học sinh nghỉ lễ Giỗ Tổ Hùng Vương 1 ngày (nghỉ bù vào ngày 27/4), nghỉ dịp 30/4 và 1/5 trong 2 ngày.

Cập nhật V.League vòng 19 hôm nay, đầy đủ lịch thi đấu, kết quả và bảng xếp hạng mới nhất: Hà Nội FC đánh bại Becamex TP.HCM để áp sát Ninh Bình.

Chi hội Dinh dưỡng Nhi khoa chủ trì tổ chức Hội thảo khoa học với chuyên đề: “Cập nhật các khuyến nghị về vi chất dinh dưỡng trong tăng trưởng chiều cao ở trẻ em”.

Kết quả bóng đá Ninh Bình vs PVF CAND, vòng 19 V.League hôm nay 18/5: VTC News cập nhật tỷ số Ninh Bình đấu với PVF CAND nhanh nhất.

Agribank khẳng định vai trò là định chế tài chính trụ cột, với quy mô hoạt động và việc định hướng, phân bổ hiệu quả dòng vốn vào các lĩnh vực ưu tiên.

Trung tâm Hội nghị APEC hoàn thành hơn 90% kết cấu bê tông cốt thép, dần lộ diện hình hài một tổ hợp quy mô chưa từng có tại Việt Nam.

Iran cảnh báo tiếp tục kiểm soát chặt chẽ eo biển Hormuz trừ khi Mỹ đảm bảo tự do hàng hải cho các tàu từ Iran, trong bối cảnh Mỹ duy trì lệnh phong tỏa cảng Iran.

Bộ Tài chính đề xuất kéo dài thời gian áp dụng Nghị định 72/2026 về giảm thuế nhập khẩu xăng dầu 0% đến hết ngày 30/6/2026.

Xăng E10 có chứa thành phần cồn, chuyên gia khuyến nghị chủ phương tiện có các bước kiểm tra xe trong một số điều kiện nhất định.

(VTC News) - XSMB 18/4, cập nhật kết quả xổ số miền Bắc hôm nay ngày 18/4/2026, KQXSMB thứ 7, trực tiếp xổ số miền Bắc 18/4, tra cứu kết quả XSMB hôm nay.

(VTC News) - XSMT 18/4, cập nhật kết quả xổ số miền Trung hôm nay ngày 18/4/2026, KQXSMT thứ 7, trực tiếp xổ số miền Trung 18/4, tra cứu kết quả XSMT hôm nay.
Bình luận