
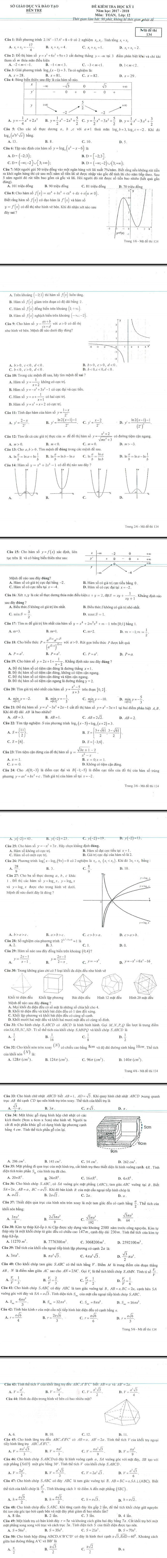
Đáp án môn Toán đề thi kỳ 1 lớp 12 năm 2017 tại Bến Tre:

Video: Đề thi THPT Quốc gia 2017 được bảo mật ra sao?

Đáp án môn Toán đề thi kỳ 1 lớp 12 năm 2017 tại Bến Tre:

Video: Đề thi THPT Quốc gia 2017 được bảo mật ra sao?

ĐBQH đề xuất cấm các trường công lập bố trí môn liên kết xen kẽ giờ học chính khóa nhằm tránh tình trạng phụ huynh buộc phải cho con theo học, phát sinh chi phí.

Một câu đố vui về thế giới động vật khiến nhiều người bất ngờ: Loài vật nào có thể ngủ khi vẫn đứng yên mà không cần nằm xuống?

Ứng dụng trí tuệ nhân tạo để kết nối người dùng với nghệ nhân làng nghề, học sinh Trường THPT FPT Hà Nội giành giải Nhất cuộc thi “Viết tiếp Bản sắc Việt”.
Tình trạng ô nhiễm kéo dài với mùi tanh, nước thải tại chợ cá Yên Sở (Hà Nội) vẫn tiếp diễn trước ngày bị giải tỏa, ảnh hưởng đến đời sống người dân xung quanh.

Từng đối diện ranh giới sinh tử ngay từ khoảnh khắc chào đời, bé Doãn Dương đã trải qua 120 ngày điều trị đầy khó khăn để được khỏe mạnh trở về nhà.

Số người phải nhập viện do nghi ngộ độc sau khi ăn bánh mì tại hai cơ sở ở Diễn Châu (Nghệ An) đã tăng lên hơn 60 người, so với con số hơn 20 người ban đầu.

Wayne Rooney cho rằng Man City ăn mừng quá đà sau chiến thắng trước Arsenal ở giải Ngoại Hạng Anh.

Trái ngược hình tượng Dũng trong phim "Bóng ma hạnh phúc", Lương Thế Thành ngoài đời là người chồng mẫu mực, luôn yêu thương bà xã Thúy Diễm suốt 10 năm qua.
Cơ quan khí tượng Nhật Bản cho biết các trận động đất có “quy mô tương tự” có thể tiếp diễn trong vòng một tuần, theo hãng tin Kyodo.

Theo Bộ trưởng Xây dựng Trần Hồng Minh, cần khoảng 743.907 tỷ đồng để làm 2.224 km/30 tuyến đường sắt đô thị trên địa bàn Hà Nội (18 tuyến) và TP.HCM (12 tuyến).
Chàng trai GenZ làm nhân viên văn phòng ở TP.HCM đã may mắn trúng Jackpot (độc đắc) hơn 79 tỷ đồng bằng vé bao 8.

Bác sĩ Bệnh viện Chợ Rẫy (TP.HCM) điều trị hiệu quả 2 ca ung thư vú mang đột biến gen BRCA1 và BRCA2, nguy cơ mắc bệnh suốt đời tăng tới 69 - 72% so với bình thường.

ĐBQH đề xuất cấm các trường công lập bố trí môn liên kết xen kẽ giờ học chính khóa nhằm tránh tình trạng phụ huynh buộc phải cho con theo học, phát sinh chi phí.

CLB Túc Thiên đã tạo cú hích truyền thông tại Giải bóng đá thành phố tỉnh Giang Tô 2026 khi mời diễn viên Hà Nhuận Đông xuất hiện trong hình tượng Hạng Vũ.

Xích mích khi làm việc, nhóm công nhân hẹn nhau mang mã tấu ra cổng công ty ẩu đả, gây náo loạn khu vực KCN Sóng Thần 2.

Sở An toàn thực phẩm TP.HCM xác định vụ nhiều học sinh nhập viện sau bữa ăn bán trú tại Trường Tiểu học Bình Quới Tây là ngộ độc thực phẩm.

Một câu đố vui về thế giới động vật khiến nhiều người bất ngờ: Loài vật nào có thể ngủ khi vẫn đứng yên mà không cần nằm xuống?

Bộ Tư lệnh Trung tâm Mỹ (CENTCOM) công bố video ghi lại khoảnh khắc lính Thủy quân lục chiến từ tàu USS Tripoli đổ bộ chiếm lĩnh tàu hàng Touska của Iran.

ĐBQH kiến nghị rà soát, hoàn thiện hệ thống pháp luật liên quan đến lao động và bảo hiểm xã hội, trong đó công nhận người bán vé số dạo là lao động tự do đặc thù.

Diva Mỹ Linh, nghệ sĩ saxophone Trần Mạnh Tuấn mang đến những tiết mục giàu cảm xúc trong đêm nhạc Trịnh Công Sơn tại Singapore.

BIDV được xướng tên Giải Vàng tại lễ trao giải The Stevie Awards khu vực châu Á - Thái Bình Dương với hoạt động truyền thông kiến thức tài chính cho giới trẻ.

Mẫu xe điện hạng nhỏ của BYD được nâng cấp với nhiều cải tiến về không gian nội thất, khoảng sáng gầm và dung lượng pin so với phiên bản tiền nhiệm.

Ứng dụng trí tuệ nhân tạo để kết nối người dùng với nghệ nhân làng nghề, học sinh Trường THPT FPT Hà Nội giành giải Nhất cuộc thi “Viết tiếp Bản sắc Việt”.
VinFast VF 8 đang tăng sức hút nhờ hỗ trợ trực tiếp lên đến 13% giá niêm yết, mua xe 0 đồng với lãi suất cố định hay chính sách sạc pin miễn phí lên tới 3 năm.

Nêu thực tế một trưởng phòng cấp xã làm nhiệm vụ của 6-7 sở, ngành, ĐBQH đề nghị Chính phủ đánh giá tổng thể chế độ chính sách tiền lương, phụ cấp với cán bộ cấp xã.

Hướng tới kỷ niệm 69 năm ngày thành lập (26/4/1957 – 26/4/2026), Ngân hàng BIDV tổ chức Cuộc thi vẽ tranh thiếu nhi trên phạm vi toàn quốc.

Bộ Tư lệnh Trung ương Mỹ (CENTCOM) vừa công bố video ghi lại cảnh lính thủy đánh bộ Mỹ đu dây đổ bộ xuống tàu TOUSKA ở Vịnh Oman.

Thủ đô Islamabad, Pakistan đang tăng cường siết chặn an ninh để chuẩn bị cho vòng đàm phán thứ hai có thể diễn ra giữa Mỹ và Iran trong thời gian tới.

Cơ quan Khí tượng Nhật Bản cho biết trận động đất mạnh 7,5 độ Richter xảy ra ngoài khơi phía đông tỉnh Iwate có thể dẫn đến sóng thần cao 3m.

Mỗi lần đi ăn, cà phê hay xem phim, bạn trai đều đề nghị chia đôi tiền; bạn bè tôi nói nên chia tay vì đây là kiểu đàn ông “đo lọ nước mắm, đếm củ dưa hành”.

Chính sách “khóa trần” lãi suất 0-6%/năm trong 5 năm của Vinhomes được tung ra đã ngay lập tức kích hoạt làn sóng giao dịch trên diện rộng.

Dù bị nhắc nhở nhiều lần, bà T. vẫn cố tình bán hàng rong và có hành vi la hét, chống đối gây cản trở giao thông, ảnh hưởng hoạt động tại khu vực sân bay Nội Bài.

Quý I/2026, Nông nghiệp Hòa Phát (HPA) bán ra hơn 86.000 tấn thức ăn chăn nuôi, 110.000 con heo và 84,6 triệu quả trứng gà.
Bình luận