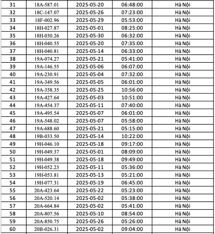
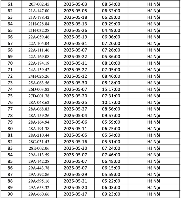
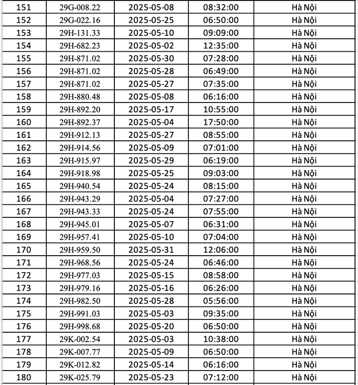
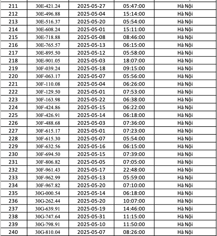
Phòng CSGT Công an TP Hà Nội thông báo danh sách phương tiện vi phạm trật tự an toàn giao thông trong tháng 5 (từ 1/5 đến 31/5), được phát hiện qua hệ thống camera giám sát.
Danh sách 451 ô tô bị phạt nguội tháng trong 5/2025 ở Hà Nội:















Chủ phương tiện, người điều khiển phương tiện khi nhận được thông báo phạt nguội, hoặc thông qua việc tra cứu phạt nguội trên trang thông tin điện tử của Cục Cảnh sát giao thông (tại địa chỉ csgt.vn), có thể đến nơi phát hiện vi phạm để giải quyết.
Đối với người dân cư trú trên địa bàn Hà Nội có thể đến các địa điểm tiếp nhận, giải quyết phạt nguội của Phòng Cảnh sát giao thông Hà Nội để giải quyết vụ việc vi phạm hành chính.
Tài xế ô tô khi đến nộp phạt nguội cần chuẩn bị đăng ký xe, giấy chứng nhận kiểm định an toàn kỹ thuật và bảo vệ môi trường, giấy phép lái xe của người vi phạm, căn cước công dân của người vi phạm (với mỗi loại giấy tờ photo 1 bản).
















